SI
SI
discoversearch

We've detected that you're using an ad content blocking browser plug-in or feature. Ads provide a critical source of revenue to the continued operation of Silicon Investor.  We ask that you disable ad blocking while on Silicon Investor in the best interests of our community.  If you are not using an ad blocker but are still receiving this message, make sure your browser's tracking protection is set to the 'standard' level.
Gold/Mining/Energy : Big Dog's Boom Boom Room

 Public ReplyPrvt ReplyMark as Last ReadFilePrevious 10Next 10PreviousNext  
From: Eric4/1/2012 7:20:27 PM
1 Recommendation   of 206181
 
A review of the Citigroup Prediction on US Energy Posted by Heading Out on April 1, 2012 - 11:25am
Topic: Supply/Production

Gasoline prices remain high, and Reuters recently noted that there are enough countries with civil unrest, technical problems, and bad weather with around a million barrels a day of possible supply that are not getting to the market. Yet with Saudi Arabia continuing to reassure that it is willing to pump more oil if needed, there appears to be, superficially, little cause for supply concerns this year. By the same token, concerns over supply in the longer term also seem to be increasingly discounted. For example, Citigroup has just released a new report on Energy 2020: North America as the new Middle East. The report suggests that there is really no concern with future supplies of oil and gas, perhaps most clearly shown with this plot:


The Citigroup view of the coming energy future ( Citigroup)

I would argue that the numbers for Saudi Arabia and Russia are difficult to realistically justify. For the Kingdom, which is reported to be producing 9.9 mbd, to increase production by another 2 mbd is optimistic, given the aging of their primary fields and the decline in remaining volumes that I will discuss in future posts in the current series on that country. The projection of an increase in Russian production is a similar concern. With the decline in production from Western Siberia, there is not enough new production coming from Timan-Pechora and Eastern Siberia to sustain existing levels, let alone see an increase in production – a point that has been made by Russian officials in the past. However, the real concern lies with the relatively unrealistic image that is being projected for US production over the next eight years.


North American shale plays (EIA map, cited by Citigroup)

The image projected by the above figure suggests that the country is covered in shale, all waiting to provide its wealth to the nation. But that is not the case and shale plays have been a hot topic for a number of years now. And while the map above shows a carpet of shale that has the potential to produce oil and/or natural gas, it does not clearly enough distinguish the considerable difference between deposits that are presently economic, and those that are not. (The small number of fields that are labelled as prospective does not speak well for the future).

If one examines the prediction for future production, it shows that overall US growth in production of all liquids will rise from some 9 mbd at the end of 2011 to 11.6 mbd in 2015, and then go on to a figure of 15.6 mbd in 2020. Note that this includes natural gas liquids (NGLs), refining gains, and growth in the production of biofuels. The contribution of the various sectors is broken down into:


Projected growth in US production ( Citigroup )

In the Deepwater category, Citigroup cites existing production from Atlantis, Perdido, Shenzi, Silvertip, Tahiti, and Thunder Horse. Future gains will then come from Big Foot, Gunflint, Hadrian, Jack, Knotty Head, Lucius, Moccasin, St. Malo, Stones, Tubular Bells, Vito, Tiber, Buckskin, Kaskida, Appomattox and Heidelberg. But the report sees gains in the Gulf of Mexico (GOM) total liquids as likely peaking in 2016 at around 2.2 mbd, and the gains projected in the above table that might come beyond that as being an “upside potential”based on a change in regulatory factors and the ability of oil companies to bring their reserves on line.


Citigroup projection of future production from Deepwater (Citigroup)

Part of my problem with this approach is that it seems to totally discount the declining production and fails to meet target projections from existing GOM platforms that, among others, has been well documented by Jean Laherrère ( here, here and here) and by Darwinian at The Oil Drum (TOD). Looking at the fields that Citigroup has cited, it is pertinent to examine first their relative size, as Jean illustrated.


Discoveries in the GOM ( Jean Laherrère)

In this context it might be well to remember that as a rule of thumb (from the Russian posts) a 500 mmboe field may produce around 120 kbd. However, it should be noted that some of the GOM fields are having problems reaching their target, and that production is falling at a rate of around 20% per year, as Darwinian showed for the cumulative production of Thunder Horse Atlantis and Tahiti, which were projected to produce 550 kbd in total.


History of production from Thunder Horse, Atlantis and Tahiti combined ( Darwinian )

With production having already fallen 300 kbd from projections, mainly through lower production from Thunder Horse and Atlantis, it is hard to see how to justify the numbers that Citigroup is using.

The Citigroup projection for Alaska anticipates possible gains from the Shell activities in the Chukchi Sea, although the exploratory wells have yet to be drilled and the geographical challenges to be met in bringing that oil ashore are not yet fully addressed. The Alaskan pipeline is currently flowing at around 609 kbd, which is high enough to prevent wax and ice build-up, but with ongoing declines in production and problems arising once the flow falls below 600 kbd how long it can continue to perform satisfactorily is open to question. They cite heavy oil operations at Milne Point which has been declining in production, and West Sac, which is a very heavy, cold oil that has raised considerable technical issues in achieving the production of around 15 kbd at present, with existing plans only adding 150 million barrels in total to reserves. The other source that is cited is to produce the light crude is from the National Petroleum Reserve in Alaska (NPRA). Given that the bridge from Alpine into the Conoco-Phillips wells in the NPRA has just been approved suggests that an increase in production from the region is still some time away. Put together, this suggests that the estimates for a 500 kbd increase in Alaskan production within the next eight years is not a reasonably likely occurrence.


Location of fields and development along the North Slope ( Free Republic)

And the third source that Citigroup cites are the oil from shale deposits shown at the top of the post. They see growth of 2.4 mbd in oil production and 1.5 mbd in NGLs from the increase in production from natural gas. The production gains are broken down as follows:


Projected sources of oil from shale plays (Citigroup)

The plot, again, includes a large volume of “upscale potential” that might come from a change in regulations, government, and oil company attitudes. I have written about some of the more realistic views of the possible future production of the Bakken and the Niobrara, the Tuscaloosa and the Chatanooga. In this regard, it is worth noting that while Citigroup sees production from the Bakken rising to around 1 mbd in 2016, and being sustained at that level through 2022, this is not the view of the folk in North Dakota who are monitoring well production and permits.


Anticipated production from the Bakken and Three Forks in North Dakota ( DMR March 2012)

It is instructive to this argument to note that Fidelity E&P has just celebrated reaching a production record of 3,500 bd in the Bakken, which it derives from 58 wells. As they continue to run 5 rigs, and have been able to drill a long lateral horizontal well in 28 days, they should be able to increase production this year, but they are fighting the rapid decline in existing wells, which requires that more wells be drilled every year as the better spots become drained, so the drilling activity must accelerate to sustain existing production.


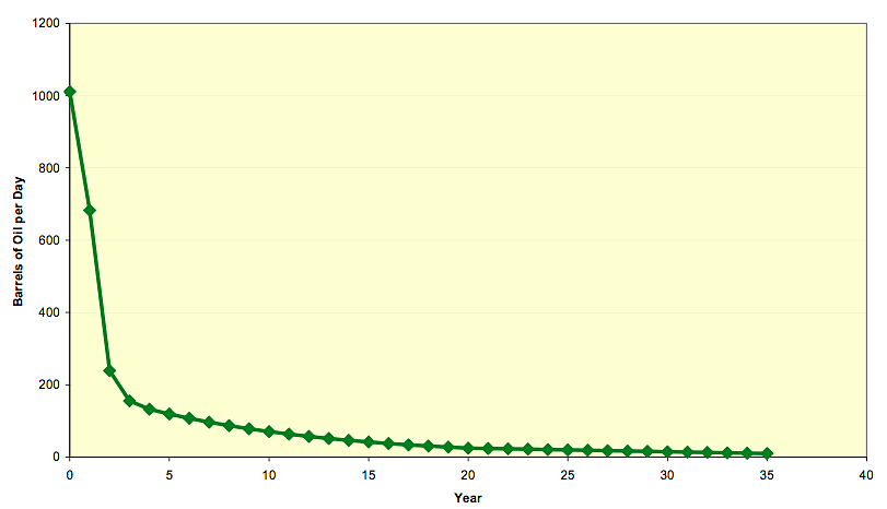
Typical Bakken well production ( ND DMR)

Production from the Bakken in North Dakota reached 546 kbd in January, and this production came from 6,617 wells, which gives an average of 82.5 bd production from each well. Activity is such that some 250 wells are waiting on fracture services, and rigs capable of drilling 20,000+ ft are at 95% utilization in the area. And prices of natural gas are down to $1.89/kcf. Bear in mind that, after a while, it becomes harder to find a spot where no-one has already been.


Map of wells planned and drilled in a section of the Bakken ( DMR Presentation to Farm Bureau)

On the ground it looks more like this:


Well sites in the Bakken (Vern Whitten for DMR – Farm Presentation)

The North Dakota Department of Mineral Resources has a series of very informative presentations on the Bakken, including hydraulic fracturing, and the above were taken from the presentation to the Pierce Country Farm Bureau on March 15th.

Current plans anticipate that the Niobrara may reach 250 kbd of production by 2020. The problem, however, as Art Berman has skillfully pointed out, is that as the ND plot above shows, the current wells have a high decline rate, and production levels drop dramatically once the wells are brought on line. Art has explained the background to this for gas wells drilled into shale but the impact for oil wells, where the oil has a higher viscosity than the natural gas, can be significantly greater. Given that well costs are in the order of $10 million per well (depending on location DMR gives the ND price at around $8.5 million, and numbers for the Eagle Ford have been quoted at $8 million) the amount of oil that must be produced over the first few years to justify investment is significant. There are, for example, some 1,400 wells producing in the Eagle Ford play. The play produced 30.4 million barrels of oil in 2011, and is anticipated to add 200 kbd of production this year with the potential to reach 1.2 mbd by 2015. But the high decline rates mean that wells must be replaced rapidly to sustain those levels of production.

It is this disregard for the declining production from existing and future wells that appears to be neglected in the Citigroup study. Those plays which will yield rapidly in generating high initial well production will, in turn, be the first that decline significantly and need replacement. Yet replacement will, over time, have to be in poorer parts of the formation, requiring that multiple wells replace the initial producer, and so bounds on production will be reached, likely before the end of the decade. Citigroup anticipates that the risks in development of the shale plays, whether in Texas or California, come as much from an inability to transport the oil generated and from environmental policy; they see few geological risks – which is a pity, since it is the geology that will control production and its decline, and the ultimate profitability of these ventures.

And finally, Citigroup sees that cellulosic ethanol will come into its own this decade, and that it will provide half the 2 mbd of biofuels produced in 2020. Unfortunately the economics of large-scale production that have led to failures of ventures to date have over-ridden the mandated production levels that the group cites as their foundation, and there is no indication that this will change in the next eight years.

In short, though this is an interesting exercise, it is too full of “could” and thus will not make much of a useful contribution to meaningful discussion of future production.

A review of the Citigroup Prediction on US Energy Share | Show without comments | PDF version

Related articles (automatically generated)
Tech Talk - The Niobrara, the Tuscaloosa and the Chattanooga Shales (October 31, 2011)
Tech Talk - A Recap in Light of Iranian Sanctions and Canadian Production Estimates (March 12, 2012)
Tech Talk - A Second Look at Natural Gas in the Bakken (November 27, 2011)
Crude Oil and Liquids Capacity Additions: 2011-2015 (April 13, 2011)
Tech Talk - North Dakota and the Bakken (August 14, 2011)

    theoildrum.com
    Report TOU ViolationShare This Post
     Public ReplyPrvt ReplyMark as Last ReadFilePrevious 10Next 10PreviousNext