SI
SI
discoversearch

We've detected that you're using an ad content blocking browser plug-in or feature. Ads provide a critical source of revenue to the continued operation of Silicon Investor.  We ask that you disable ad blocking while on Silicon Investor in the best interests of our community.  If you are not using an ad blocker but are still receiving this message, make sure your browser's tracking protection is set to the 'standard' level.
Pastimes : Murder Mystery: Who Killed Yale Student Suzanne Jovin? -- Ignore unavailable to you. Want to Upgrade?


To: Jeffrey S. Mitchell who wrote (1377)9/27/2017 11:19:01 AM
From: Jeffrey S. Mitchell  Read Replies (1) | Respond to of 1400
 
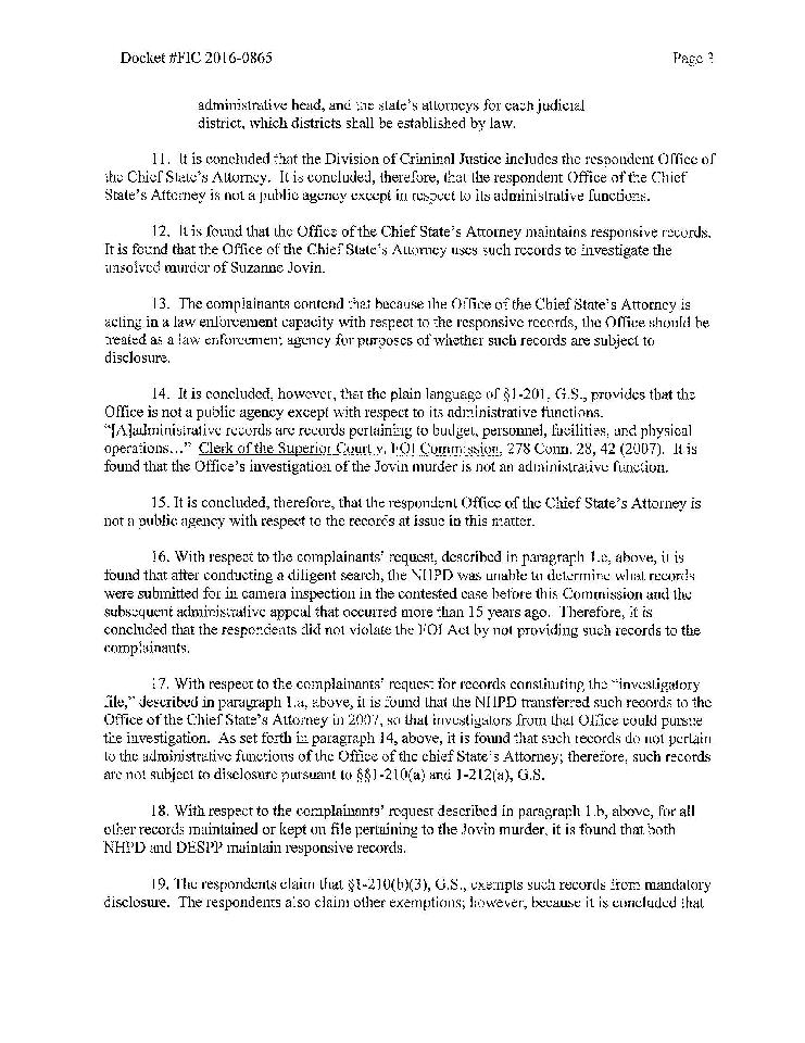
Re: 9/7/2017 - CT FOI Docket #FIC 2016-0865





http:/www.siliconinvestor.com/public/2894769_803b57bb5ea2dbc6e92e1a172e2410d0.jpg
http:/www.siliconinvestor.com/public/2894769_631b2359ae0a46e92cfb59a13cff453a.jpg
http:/www.siliconinvestor.com//public/2894769_5ec8a709e5b6f77a47723e1bd3c399c3.jpg
http:/www.siliconinvestor.com/public/2894769_b027b9406f3ed520b2da8367d1bef98c.jpg
http:/www.siliconinvestor.com//public/2894769_7fe48dcb368a948cde4669074ab4f944.jpg
http:/www.siliconinvestor.com/public/2894769_d6a31fc7fee92ef6d5a1cfbcfa30f1e5.jpg
http:/www.siliconinvestor.com/public/2894769_88125fa14fbd2abf9c0786b77d2b70d2.jpg