SI
SI
discoversearch

We've detected that you're using an ad content blocking browser plug-in or feature. Ads provide a critical source of revenue to the continued operation of Silicon Investor.  We ask that you disable ad blocking while on Silicon Investor in the best interests of our community.  If you are not using an ad blocker but are still receiving this message, make sure your browser's tracking protection is set to the 'standard' level.
Politics : Formerly About Advanced Micro Devices -- Ignore unavailable to you. Want to Upgrade?


To: Brumar89 who wrote (1059013)3/7/2018 6:43:14 PM
From: Brumar89  Read Replies (1) | Respond to of 1584005
 
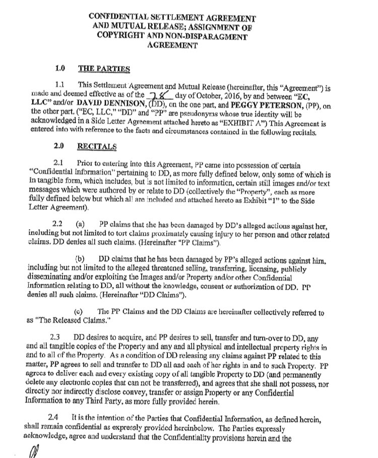
Agreement acknowledges PP Peggy Peterson aka Stormy has something tangible on DD David Dennison aka Donald J Trump "which includes, but is not limited to information, certain still images and/or text messages which were authored by or pertain to DD."