SI
SI
discoversearch

We've detected that you're using an ad content blocking browser plug-in or feature. Ads provide a critical source of revenue to the continued operation of Silicon Investor.  We ask that you disable ad blocking while on Silicon Investor in the best interests of our community.  If you are not using an ad blocker but are still receiving this message, make sure your browser's tracking protection is set to the 'standard' level.
Gold/Mining/Energy : Mining News of Note -- Ignore unavailable to you. Want to Upgrade?


To: LoneClone who wrote (186931)4/23/2025 3:15:17 PM
From: LoneClone  Read Replies (1) | Respond to of 192448
 
IsoEnergy Intersects Strongly Elevated Radioactivity in Multiple Holes Immediately Along Strike of Hurricane and In Step-Out Target Area D, 2.8 km East

newswire.ca

News provided by IsoEnergy Ltd. Apr 23, 2025, 07:00 ET

TORONTO, April 23, 2025 /CNW/ - IsoEnergy Ltd. ("IsoEnergy" or the "Company") (TSX: ISO) (OTCQX: ISENF) is pleased to announce the completion of its winter drilling program at the Larocque East Project (the "Project"), located in the eastern Athabasca Basin. The Company successfully completed 17 diamond drill holes, totaling 6,396 m, along the Larocque Trend ("Larocque Trend"), an important regional structure that hosts the Hurricane Deposit ("Hurricane" or the "Deposit") containing a current Indicated Mineral Resource of 48.6 Mlbs at 34.5% U3O8 and an Inferred Mineral Resource of 2.7 Mlbs at 2.2% U3O8 (See "Qualified Person Statement" below). The Larocque Trend also hosts other notable high-grade occurrences including those on Cameco and Orano's Dawn Lake joint venture. The Company's drilling intersected strongly elevated radioactivity, in five holes, along the eastern extensions of the Hurricane Deposit main and south trends, as well as at Area D, 2.8 km east of Hurricane, highlighting the potential for additional zones of uranium mineralization both immediately on strike of Hurricane and regionally along the 9 km of the Larocque Trend on the Project.











Figure 1– Location of winter 2025 drill holes with respect to the Deposit resource footprint (blue) and the ANT seismic low velocity zone in which the Deposit occurs, and projected Hurricane mineralization-controlling fault zones. RS-125 values are highest averages over 0.5 m intervals. (CNW Group/IsoEnergy Ltd.)


Figure 2 – Location of 2025 target areas and winter drill holes along the Larocque Trend, including drill holes in Target Area D, located 2.8 km east of the Deposit. In addition to targets near the Deposit, greenfield potential will be tested this summer in areas D, E and F along a six-kilometre segment of the Larocque Trend. RS-125 values are highest averages over 0.5 m intervals. (CNW Group/IsoEnergy Ltd.)


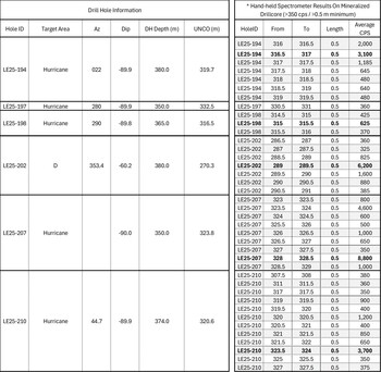
Table 1: Drill hole summary and RS-125 spectrometer results for holes with >350 cps. (CNW Group/IsoEnergy Ltd.)


Figure 3 – Joint resistivity – electromagnetic inversion model of the Larocque East project completed by Convolutions Geoscience and Computational Geosciences that highlights an untested 2,500m northern conductivity trend. (CNW Group/IsoEnergy Ltd.)


Figure 4 – Main Trend: Cross section through LE25-194 and LE25-203 on the East Trend looking east. (CNW Group/IsoEnergy Ltd.)


Figure 5 – South Trend: Core photo of drill hole LE25-207 from 310 m to 333.5 m showing interval from 323.0 m to 329.0 m with elevated radioactivity up to 8800 cps averaged over 50 cm on the RS-125 spectrometer. The unconformity is at 323.8 m. (CNW Group/IsoEnergy Ltd.)


Figure 6 – Cross section through LE25-202, 204 and 206 on the west end of Target Area ‘D’ looking east. (CNW Group/IsoEnergy Ltd.)


Table 2: Drill hole summary and RS-125 spectometer and 2PGA downhole probe results for winter 20-2025 drill holes on the Larocque East project. (CNW Group/IsoEnergy Ltd.)







Highlights



  • Strong Radioactivity Intersected Along Hurricane Main and South Trends Confirm Structural Continuity and Supports Resource Expansion Potential (Figure 1)
    • Main Trend – Drilling along the projected extension of the H and I faults intersected strong radioactivity, confirming potential continuity east of Hurricane. Hole LE25-194, located 80 m east of Hurricane, returned an average RS-125 reading on core of 3,100 cps over 0.5 m (Table 1) with a corresponding downhole probe maximum reading of 30,829 cps (Table 2). LE25-198 intersected up to 625 cps on core and 26,503 cps downhole probe 180 m east of Hurricane.
    • South Trend – Drilling along the projected extension of the J and K faults intersected strong radioactivity, confirming potential continuity east of Hurricane. Hole LE25-207, located 240 m east of Hurricane, returned an average RS-125 reading on over 0.5 m on core of 8,800 cps and a corresponding downhole probe maximum reading of 30,096 cps, while LE25-210, drilled 480 m east of Hurricane, intersected up to 3,700 cps averaged over 0.5 m on core and a corresponding downhole probe maximum reading of 20,280 cps.
  • Best Radioactivity Intercept to Date in Area D Outside of Hurricane Confirms Regional Potential
    • Hole LE25-202 returned an average RS-125 reading on over 0.5 m on core of 6,200 cps and up to 28,782 cps downhole probe within that interval in Area D, a standalone zone located 2.8 km east of Hurricane (Figure 2).
  • Geochemical Results Pending as IsoEnergy Prepares for Summer Drilling
    • All core samples from the winter drill holes have been submitted, with results pending.
    • Summer drilling will look to build on winter results as well as testing Target Areas E and F, 6 to 9 km east of Hurricane. Details of the summer program will be provided in due course.
  • New Geophysical Interpretation Expands Larocque Trend Target Inventory
    • A new geophysical model generated from joint inversion of historic electromagnetic and resistivity survey data has highlighted a previously underexplored conductive trend 800 m north of the main Hurricane conductor. The 2,500 m trend has only been tested by two historic drill holes, highlighting a compelling target for future testing (Figure 3).
Dr. Dan Brisbin, Vice President Exploration, commented, "The intersection of significantly elevated radioactivity, and associated alteration, along two of the targeted Hurricane trends east of the resource footprint and at Target Area D 2.8 km along trend from the Deposit highlight the potential for discoveries both along extensions to structures that control high grade mineralization at Hurricane and in additional target zones along the Larocque Trend. We look forward to resuming drilling this summer near Hurricane and in greenfield target areas along a six-kilometre prospective segment of the Larocque Trend – including at target areas E and F, where we decided to defer drilling until summer due to difficult ground conditions this winter".

Hurricane Resource Expansion Drilling

A total of 13 holes were completed to test three interpreted structural trends at Hurricane (Figure 1). Four holes (LE25-194, 195, 198, 203) were drilled to test the projected eastern extension of the faults that control the main high-grade portion of Hurricane (the "Main Trend"). Seven holes (LE25-197, 199, 200, 201, 207, 208, 210) were drilled to test the projected extension of faults that control the Hurricane southern high-grade lens (the "South Trend"). Two holes (LE25– 196, 205A) were drilled to test a structure intersected in historic drill holes in the middle sandstone north of the Deposit at the unconformity (the "North Trend").

Main Trend Highlights

Hole LE25-194 tested down-dip of structure and anomalous geochemistry intersected in LE21-89 and LE21-95A (Figure 4). Hole LE25-194 intersected widespread moderate to strongly bleached core through most of the sandstone. Strong pervasive bleaching, clay alteration and desilicification were intersected below 295 m. Moderate hematite and grey alteration, typical of Hurricane were intersected immediately above the unconformity associated with strongly elevated radioactivity over 3.5 m from 316.0 to 319.5 m which included a 0.5 m long interval with an average RS-125 spectrometer value of 3,100 cps and a corresponding 2PGA probe value of 30,829 cps. Mineralization styles include worm-rock replacement, fault-controlled and disseminated.

Hole LE25-198 drilled 100 m east of hole LE25-194, intersected widespread bleaching throughout the sandstone. Clay and limonite alteration, centered on a fault, were intersected from 259 to 263 m. A broad structural zone with continuous strong bleaching, desilicification, and clay alteration is present below 287 m. Fault-controlled hydrothermal hematite and weak grey alteration were intersected approximately 10 m above the unconformity, indicating the hole overshot the ideal target. Strong pervasive limonite and clay alteration continued to the unconformity at 316.5 m. The basement rock immediately below the unconformity is moderately argillitized and chloritized, with above-background radioactivity as measured on core and by downhole gamma probing extending from 314.0 m in sandstone down to 321.1 m in basement. Peak values recorded on drill core with the RS-125 spectrometer and with the 2PGA downhole probe are 625 cps average over a 0.5 m interval and 26,503 cps respectively. Hole LE25-198 is interpreted to have overshot the target, and potential for mineralization remains high to the north.

Hole LE25-203 tested north of hole LE25-194 and intersected strong bleaching, moderate clay and desilicification centred on structural zones below 283 m. Fault-controlled hematite alteration was intersected at 320.3 m. A peak of 4,809 cps was recorded on the 2PGA probe at 325.0 m, one metre below the unconformity.

South Trend Highlights

Hole LE25-207 was drilled between holes LE21-101 and LE22-115A to test for continuity of mineralization. Hole LE25-207 intersected moderate bleaching beginning at 245 m. Elevated radioactivity was intersected within hematitic breccia at 293 m. Strong structurally controlled bleaching and moderate clay alteration were observed from 301 m to the unconformity at 323.8 m, with significant core loss recorded from 308 to 323 m. Strongly elevated radioactivity was recorded over 6.0 m from 323.0 m in the sandstone to 329.0 m in the basement (Figure 5). The interval included RS-125 spectrometer and 2PGA probe values of 8,800 cps averaged over a 0.5 m interval and 30,096 cps, respectively.

Hole LE25-210 tested down-dip of the sandstone structure intersected in hole LE22-118A. Strong bleaching, clay alteration, and desilicification were observed below 251 m. Weak to moderate fault-controlled hematite alteration was intersected at 319.5 m and 323.6 m. Continuous radioactivity exceeding 350 cps (RS-125) was intersected in sandstone at 319 m and extended into the basement to 324 m. The highest radioactivity measured on core of 3700 cps averaged over a 0.5 m interval and a corresponding 2PGA downhole probe peak of 20,280 cps were recorded within a basement-hosted fault, highlighting the potential for a basement extension of Hurricane.

Larocque Trend Area D Drilling

Four holes (LE25-202, 204, 206 and 209) were completed in Area D this winter (Figure 2). Three holes on one section in the northwest end of Target Area D in which strongly anomalous radioactivity was intersected are summarized below.

Hole LE25-202, the first drill hole on section (Figure 6), intersected weak to moderate bleaching in the upper sandstone. In the lower sandstone, below 206 m, alteration is moderate to strong with a broad bleached, clay and desilicified zone centred on faults. Moderate to strong limonite in present over a 10 m interval below 254 m. The hole intersected unconformity at 270.3 m and hematitic breccia immediately below unconformity. A second hematitic fault was intersected at 282 m before the drill hole intersected a moderately hematitic radioactive zone from 286.5 to 291.0 m. Blebs and fracture-hosted uranium mineralization are associated with the highest RS-125 reading of 6200 cps over 0.5 m.

Hole LE25-204, drilled to the south and designed to test down dip of the LE25-202 intersection, intersected broad bleaching throughout the sandstone. Moderate clay alteration and desilicification with significant core loss were intersected below 245 m to unconformity at 262.9 m.

Hole LE25-206 tested the up-dip projection of mineralized fault intersected in LE25-202. LE25-206 intersected moderate bleaching throughout the sandstone. From 206 m to the unconformity at 253.2 m, the drill hole intersected moderate to strong bleaching, strong clay and desilicified zones centred on faults. Moderate fault-controlled hematite and limonite occur below 224 m. The basal sandstone, below 248 m, is strongly argillitized and chloritized. Hole LE25-206 also intersected fault-controlled hematite in basement from 257 to 263 m.

Updated Geophysical Interpretation

IsoEnergy engaged Convolutions Geoscience and Computational Geosciences Inc. to complete a 3D joint inversion of ground loop time domain electromagnetic (GTEM) and DC resistivity data collected during historic surveys on the Project.

The interpreted plates from TDEM modelling by Convolutions Geoscience and the Athabasca Basin unconformity surface formed a starting model for a parametric and voxel inversion of the GTEM data. Then, the geological model representing the interpreted graphitic stratigraphy extrapolated the conductive trends produced by the parametric and voxel inversion, which formed the constraint model for the DC inversion.

Two plan slices 50 m above the unconformity and 50 m below the unconformity through the Computational Geosciences 3D model are shown in Figure 3. The model is being integrated with ambient noise tomography interpretations and drill hole geology and geochemical information for the Project. The newly developed geophysical model has highlighted the prospectivity of a northern conductive trend, visible in both depth slices in Figure 3, which has been inadequately tested by two previous drill holes, and which is accordingly thought to be a compelling target.

Qualified Person Statement

The scientific and technical information contained in this news release was reviewed and approved by Dr. Dan Brisbin, P.Geo., IsoEnergy's Vice President, Exploration, who is a "Qualified Person" (as defined in NI 43-101 – Standards of Disclosure for Mineral Projects). Dr. Brisbin has verified the data disclosed herein. Data verification procedures included comparing radioactivity measured on core with the RS-125 spectrometer to radioactivity measured downhole with the 2PGA probe, comparing RS-125 data to cps values marked on core boxes in core photos, and checking reported composite lengths and cps values.

All 'HK' and 'LE' series drill holes were completed by IsoEnergy, and geochemical analyses were completed for the Company by Saskatchewan Research Council Geoanalytical Laboratories ("SRC") in Saskatoon, Saskatchewan, which is independent of the Company. All other drill holes were completed by previous operators and geochemical assay data has been compiled from historical assessment reports or provided by the previous operator(s).

For additional information regarding the Company's Larocque East Project, including the current mineral resource estimate for IsoEnergy's Hurricane Deposit, please see the technical report entitled "Technical Report on the Larocque East Project, Northern Saskatchewan, Canada" dated August 4, 2022, available on the Company's profile at www.sedarplus.ca

Sample Preparation, Analyses and Security

Sample Collection Methods

Project drill core was delivered from the drill to IsoEnergy's core handling facilities at the Geiger Property in 2018 and to the Larocque Lake camp thereafter. The camp is located at UTM NAD83 Zone 13 544,430 mE / 6,496,040 mN. Core is delivered via pick-up trucks in the winter and by skidder or helicopter in the summer. Core is logged, photographed, sampled, and stored at the Larocque East camp core logging facility. Core is stored in cross piles (upper sandstone) and core racks (lower sandstone and basement).

All drill core is systematically logged to record its geological and geotechnical attributes by IsoEnergy geologists and geological technicians. All drill core is systematically photographed and scanned for radioactivity with a handheld Radiation Solutions RS-125 spectrometer. IsoEnergy geologists and geological technicians complete or supervise the on-site collection of several types of samples from drill cores. IsoEnergy geologists mark sample intervals and sample types to be collected based on geological features in the core and on radioactivity measured with the RS-125 in counts per second (CPS).

Composite geochemistry samples consist of roughly one-centimetre-long chips of core collected every 1.5 m to geochemically characterize unmineralized sections of sandstone and basement. Composite sample lengths are between five and ten m (typically 3 to 7 chips per sample). A change to this procedure was made in 2024. For 5 m above and 2 m below the unconformity composite sample intervals are 0.5 m long.

Split-core "spot" (i.e., representative) samples are collected through zones of significant but unmineralized alteration and/or structure. Spot sample length varies depending on the width of the feature of interest but are generally 0.3 to 1.5 m in length; features of interest greater than 1.5 m are sampled with multiple samples. Half-metre shoulder samples are collected on the flanks of spot sample intervals.

Split-core mineralization ("MINZ") samples are collected through zones of elevated radioactivity exceeding 350 cps measured via RS-125 handheld spectrometer. MINZ samples are generally 0.5 m in length. One half of the core is collected for geochemical analysis while the remaining half is returned to the core box for storage on site. Intervals covered by MINZ samples are contiguous with and do not overlap intervals covered by composite samples. Density ("DENS") samples are the only other type of sample collected from intervals covered by MINZ samples.

Split core density samples are collected from mineralized and unmineralized intervals. Within mineralized zones, density samples consist of a 0.1 m length of the half-core left after a MINZ sample is collected. Outside of mineralized zones density samples are commonly 0.1 m long half-core samples with the other half returned to the box. Density samples are not routinely collected in exploration holes testing targets away from the Hurricane deposit on the Larocque East Project.

Systematic short-wave infrared ("SWIR") reflectance ("REFL") samples are collected from approximately the middle of each composite sample for analysis of clays, micas, and a suite of other generally hydrous minerals which have exploration significance. Spot reflectance samples are collected where warranted (i.e., fracture coatings). Reflectance samples are not collected through mineralized zones.

For lithogeochemistry samples, sample tags with the sample number are placed in the sample bags before they are sealed and packed in plastic pails or steel drums for shipment to the SRC laboratories in Saskatoon, Saskatchewan. A second set of sample tags with the depth interval and sample number are stapled in the core box at the end of each sample interval. A third set of sample tags with the drill hole number, sample depth interval, and sample number is retained in the sample book for archiving. SWIR reflectance samples are tagged in a similar fashion as lithogeochemistry samples.

Up to winter 2024, geologists entered all sample data into IsoEnergy's proprietary drill hole database during core logging. Since the summer 2024 drilling program, logging and sampling data is being captured in MXDeposit, a commercially available software licensed from Seequent, and historic data has been migrated to MXDeposit.

Sample Shipment and Security

Individual core samples were collected at the core facilities by manual splitting. They were tagged, bagged, and then packaged in five-gallon plastic buckets or steel IP-2 drums for shipment to SRC laboratories in Saskatoon. Shipment to the laboratory was completed by IsoEnergy's expeditor, Little Rock Enterprises of La Ronge, Saskatchewan and Points North Freight Forwarding.

Assaying and Analytical Procedures

Composite and spot samples were shipped to SRC laboratories in Saskatoon for sample preparation and analysis. SRC is an independent laboratory with ISO/IEC 17025: 2005 accreditation for the relevant procedures.

The samples were then dried, crushed, and pulverized as part of the ICPMS Exploration Package (codes ICPMS1 and ICPMS2) plus boron (code Boron). Samples were analyzed for uranium content, a variety of pathfinder elements, rare earth elements, and whole rock constituents with the ICPMS Exploration Package (plus boron). The Exploration Package consists of three analyses using a combination of inductively coupled plasma - mass spectrometry, inductively coupled plasma-optical emission spectrometry ("ICP- OES"), and partial or total acid digestion of one aliquot of representative sample pulp per analysis. Total digestion is performed via a combination of hydrofluoric, nitric, and perchloric acids while partial digestion is completed via nitric and hydrochloric acids. In-house quality control performed by SRC consists of multiple instrumental and analytic checks using an in-house standard ASR316. Instrumental check protocols consist of two calibration blanks and two calibration standards. Analytical protocols require one blank, two QA/QC standards, and one replicate sample analysis.

Samples yielding over 400 ppm U-t from LE18-01A or with radioactivity over 350 cps measured by RS- 125 (all subsequent drill holes) were also shipped to SRC. Sample preparation procedures are the same as for the ICPMS Exploration Package, samples were analyzed by ICP-OES only (Code ICP1) and for U3O8 using hydrochloric and nitric acid digestion followed by ICP-OES finish, capable of detecting U3O8 weight percent as low as 0.001%. Analytical protocols utilized replicate sample analysis; however, no in-house standards were used for these small batches. Boron analysis has a lower detection limit of two ppm and is completed via ICP-OES after the aliquot is fused in a mixture of sodium superoxide (NaO2) and NaCO3. SRC in-house quality control for boron analysis consists of a blank, QC standards and one replicate with each batch of samples.

Quality Assurance and Quality Control (QA/QC)

Quality Assurance in uranium exploration benefits from the use of down-hole gamma probes and hand- held scintillometers/spectrometers, as discrepancies between radioactivity levels and geochemistry can be readily identified.

IsoEnergy implemented its QA/QC program in 2019. CRMs are used to determine laboratory accuracy in the analysis of mineralized and unmineralized samples. Duplicate samples are used to determine analytical precision and repeatability. Blank samples are used to test for cross contamination during preparation and analysis stages. For each mineralized drill hole at least one blank, one CRM, and one duplicate sample is inserted in the MINZ sample series. For unmineralized samples such as composite and spot samples, field insertions are made at the rate of 1% for blanks, 2% for duplicates and 1% CRMs.

No QA/QC samples are inserted for reflectance samples as analyses are semi-quantitative only.

In addition to IsoEnergy's QA/QC program, SRC conducted an independent QA/QC program, and its laboratory repeats, non-radioactive laboratory standards, and radioactive lab standards were monitored and tracked by IsoEnergy staff.

Borehole Radiometric Probing Method

All successfully completed 2025 drillholes were radiometrically logged using a calibrated downhole Mount Sopris 2PGA-1000 probe, which collects a reading every 10 centimetres along the length of the drillhole. The 2PGA probe was sourced from Alpha Nuclear and was calibrated for the winter 2025 program by IsoEnergy geologists at SRC facility in Saskatoon in December 2024. The total count gamma readings using the 2PGA-1000 probe may not be directly or uniformly related to uranium grades

About IsoEnergy Ltd.

IsoEnergy Ltd. (TSX: ISO) (OTCQX: ISENF) is a leading, globally diversified uranium company with substantial current and historical mineral resources in top uranium mining jurisdictions of Canada, the U.S., and Australia at varying stages of development, providing near, medium, and long-term leverage to rising uranium prices. IsoEnergy is currently advancing its Larocque East Project in Canada's Athabasca Basin, which is home to the Hurricane deposit, boasting the world's highest grade published Indicated uranium Mineral Resource.

IsoEnergy also holds a portfolio of permitted past-producing conventional uranium and vanadium mines in Utah with a toll milling arrangement in place with Energy Fuels Inc. These mines are currently on stand-by, ready for rapid restart as market conditions permit, positioning IsoEnergy as a near-term uranium producer.

Cautionary Statement Regarding Forward-Looking Information

This press release contains "forward-looking information" within the meaning of applicable Canadian securities legislation. Generally, forward-looking information can be identified by the use of forward-looking terminology such as "plans", "expects" or "does not expect", "is expected", "budget", "scheduled", "estimates", "forecasts", "intends", "anticipates" or "does not anticipate", or "believes", or variations of such words and phrases or state that certain actions, events or results "may", "could", "would", "might" or "will be taken", "occur" or "be achieved". These forward-looking statements or information may relate to statements with respect to the activities, events or developments that the Company expects or anticipates will or may occur in the future, including, without limitation, planned exploration activities for summer 2025 and the anticipated results thereof. Generally, but not always, forward-looking information and statements can be identified by the use of words such as "plans", "expects", "is expected", "budget", "scheduled", "estimates", "forecasts", "intends", "anticipates", or "believes" or the negative connotation thereof or variations of such words and phrases or state that certain actions, events or results "may", "could", "would", "might" or "will be taken", "occur" or "be achieved" or the negative connotation thereof.

Forward-looking statements are necessarily based upon a number of assumptions that, while considered reasonable by management at the time, are inherently subject to business, market and economic risks, uncertainties and contingencies that may cause actual results, performance or achievements to be materially different from those expressed or implied by forward-looking statements. Such assumptions include, but are not limited to, assumptions that the results of planned exploration and development activities are as anticipated; the anticipated mineralization of IsoEnergy's projects being consistent with expectations and the potential benefits from such projects and any upside from such projects; the price of uranium; that general business and economic conditions will not change in a materially adverse manner; that financing will be available if and when needed and on reasonable terms; that third party contractors, equipment and supplies and governmental and other approvals required to conduct the Company's planned activities will be available on reasonable terms and in a timely manner. Although IsoEnergy has attempted to identify important factors that could cause actual results to differ materially from those contained in forward-looking information, there may be other factors that cause results not to be as anticipated, estimated or intended. There can be no assurance that such information will prove to be accurate, as actual results and future events could differ materially from those anticipated in such statements. Accordingly, readers should not place undue reliance on forward-looking information.

Such statements represent the current views of IsoEnergy with respect to future events and are necessarily based upon a number of assumptions and estimates that, while considered reasonable by IsoEnergy, are inherently subject to significant business, economic, competitive, political and social risks, contingencies and uncertainties. Risks and uncertainties include, but are not limited to the following: negative operating cash flow and dependence on third party financing; uncertainty of additional financing; no known mineral reserves; aboriginal title and consultation issues; reliance on key management and other personnel; actual results of exploration activities being different than anticipated; changes in exploration programs based upon results; availability of third party contractors; availability of equipment and supplies; failure of equipment to operate as anticipated; accidents, effects of weather and other natural phenomena; other environmental risks; changes in laws and regulations; regulatory determinations and delays; stock market conditions generally; demand, supply and pricing for uranium; other risks associated with the mineral exploration industry, and general economic and political conditions in Canada, the United States and other jurisdictions where the Company conducts business. Other factors which could materially affect such forward-looking information are described in the risk factors in IsoEnergy's most recent annual management's discussion and analysis and annual information form and IsoEnergy's other filings with the Canadian securities regulators which are available under the Company's profile on SEDAR+ at www.sedarplus.ca. IsoEnergy does not undertake to update any forward-looking information, except in accordance with applicable securities laws.

SOURCE IsoEnergy Ltd.

For More Information, Please Contact: Philip Williams, CEO and Director info@isoenergy.ca, 1-833-572-2333, X: @IsoEnergyLtd, www.isoenergy.ca